Алгебра — ЕГЭ Тригонометрия — ЕГЭ Геометрия — ЕГЭ Стереометрия — ЕГЭ Алгебра — ОГЭ Геометрия — ОГЭ
Таблица всех основных формул ЕГЭ
Шпаргалка по математике для ЕГЭ
Сборник формул для 11 класса
Старая добрая советская шпаргалка
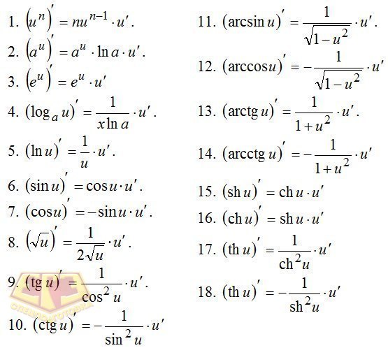
Формулы для производных функций
Сборник формул по элементарной математике





